Small Cannabinoids, Big Possibilities
When it comes to choosing cannabis products, most people start with one question:
“What’s the THC percentage?”
But THC is just one part of the story. Cannabis contains over 100 cannabinoids, and some of the most interesting effects come from the smaller, lesser-known ones like THCV. Keep reading for the answer to your next question, “What is THCV?”
This rare cannabinoid is featured in two of our newest strains: Get Sh!t Done and Joyride. Both were bred specifically to highlight THCV’s potential, offering a clear, focused, and functional experience for patients who want more than just high THC. Check your location’s pre-order for availability before it’s gone.
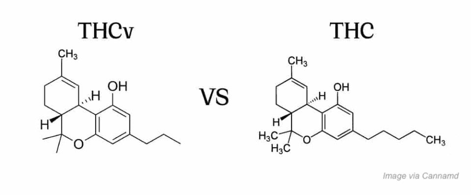
So… What Is THCV?
![]()
What does THCV do differently than THC? THCV stands for tetrahydrocannabivarin. Long name, small molecule, but it’s a good one to know! THCV is what we call a minor cannabinoid, which means it shows up in smaller amounts than the usual stars like THC or CBD.
It’s also pretty rare, only found in certain strains (especially ones bred for it). But when it’s there? The effect can be noticeably different. Lighter, more focused, and sometimes even energizing!
![]()
Animal studies have shown that THCV can improve insulin sensitivity and glucose tolerance in obese mice, indicating potential benefits for metabolic health (1). It’s important to note: research is still early, and effects can vary depending on the dose, the product, and your personal chemistry.
Here’s the kind of thing patients are telling us they look for when they ask about THCV:
- A calmer headspace for working or doing errands
- Help with appetite (not everyone wants the munchies)
- Relief that doesn’t take them out of their day
And as always, effects vary. Everyone’s body is different but that’s part of what makes this plant so special. It meets you where you’re at.
🧠 THCV vs THC: What’s the Difference?
Even though THCV and THC sound (and look) similar, they act differently in the body.
At lower doses, THCV may help shape the overall experience, possibly offering a more clear-headed or balanced effect when combined with THC. Some patients report feeling more focused or less snack-prone. At higher doses, THCV may have mildly energizing effects of its own — and interestingly, even small amounts can feel noticeably active for some (2).
If you’re someone who enjoys the benefits of cannabis but prefers to stay engaged and functional, THCV could be a good fit.
It’s Not Just About One Cannabinoid
The reason cannabis works the way it does isn’t just about THC or THCV, it’s about how everything works together.
In a recent Instagram post, we compared this idea to a lau lau. Sometimes, you can have just meat and leaf but when you add different elements together (ti leaf for steaming, butterfish, Okinawan sweet potato) they work synergistically to improve the experience!
![]()
Clip art by Lauren Trangmar
As you may have heard, cannabis also contains terpenes (like limonene, pinene, or linalool), which influence both aroma and effect. A strain high in THCV and limonene might feel uplifting and focused, while a similar strain with more myrcene might mellow you out.
Together, these compounds create what researchers call the “entourage effect,” where cannabinoids and terpenes work synergistically to create a more personalized, balanced experience (3).
Why Patients Might Look for THCV
Everyone’s experience with cannabis is different but THCV might be a good fit if you’re looking for:
- Support with midday focus
- Gentle appetite regulation
- A more balanced daytime experience
- A lighter, clearer effect than traditional THC
Whether you’re using flower, a vaporizer, or a concentrate, keep an eye out for THCV in the cannabinoid profile. Especially if your wellness goals include focus, movement, or metabolic support.
📍 Final Thought: Keep Exploring

THCV is just one of many cannabinoids that make cannabis more than just “THC content.” The more you learn about the full plant profile (cannabinoids and terpenes) the more you can fine-tune your experience.
And as more products highlight THCV, patients have more ways to choose what works for them. THCV is a reminder that it’s not always about potency. It’s about fit.
References:
- Wargent, E. T., et al. (2013). The cannabinoid Δ9‐THCV has anti-obesity and anti-diabetic properties in diet-induced obese mice. Nutrition & Diabetes, Nature
- Atakan, Z. et al. (2015). The effect of five-day dosing with THCV on THC-induced cognitive, psychological and physiological effects in healthy male volunteers: A placebo-controlled, double-blind crossover pilot trial. ResearchGate PDF
- Finlay, D. B., et al. (2022). Study Shows Cannabis Terpenes Provide Pain Relief, Contribute to Entourage Effect. University of Arizona Health Sciences
[/et_pb_text][/et_pb_column][/et_pb_row][/et_pb_section]